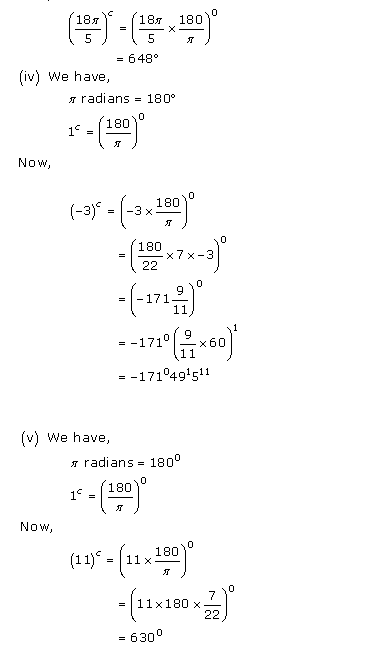
RD Sharma Solutions Class 11 Chapter 4 Exercise 4.1

Exercise 4.1

Comments

Leave a Comment

Your Mobile number and Email id will not be published.

*

*