MSBSHSE Solutions For Class 8 Maths Part 2 Chapter 10 Division of Polynomials can be accessed by the students here. This chapter mainly deals with the division of a polynomial by different kinds of polynomials. Mathematics is one of the highest scoring subjects and students are encouraged to use it to their advantage. But, when it comes to exams and preparations, students face a struggle to solve problems on their own. Thus, we at BYJU’S have created Maharashtra State Board Class 8 Part 2 solutions by our subject experts in order to help students prepare for their exams effortlessly. All the solutions are in accordance with the latest Maharashtra Board guidelines to help students secure high marks. Students referring to these solutions will learn the tricks and easy methods to solve problems. The solutions PDF of Maharashtra Board Solutions for Class 8 Maths Chapter 10 Division of Polynomials is given in the link below.
Download the PDF of Maharashtra Board Solutions For Class 8 Maths Part 2 Chapter 10 Division of Polynomials.
Access answers to Maharashtra Board Solutions For Class 8 Maths Part 2 Chapter 10 Division of Polynomials.
Practice Set 10.1 Page No: 64
1. Divide. Write the quotient and the remainder.
(1) 21m² ÷ 7m
Solution:

Thus, quotient = 3m and remainder = 0.
(2) 40a³ ÷ (-10a)
Solution:

Thus, quotient = -4a2 and remainder = 0.
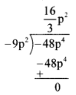
(3) (- 48p4) ÷ (- 9p2)
Solution:

Thus, quotient = 16/3 p2 and remainder = 0.
(4) 40m5 ÷ 30m3
Solution:

Thus, quotient = 16/3 p2 and remainder = 0.
(5) (5x3 – 3x2) ÷ x²
Solution:

Thus, quotient = 5x – 3 and remainder = 0.
(6) (8p3 – 4p2) ÷ 2p2
Solution:

Thus, quotient = 4p – 2 and remainder = 0.
(7) (2y3 + 4y2 + 3) ÷ 2y2
Solution:

Thus, quotient = y + 2 and remainder = 3.
(8) (21x4 – 14x2 + 7x) ÷ 7x3
Solution:

Thus, quotient = 3x and remainder = -14x2 + 7x.
(9) (6x5 – 4x4 + 8x3 + 2x2) ÷ 2x2
Solution:

Thus, quotient = 3x3 – 2x2 + 4x + 1 and remainder = 0.
(10) (25m4 – 15m3 + 10m + 8) ÷ 5m3
Solution:

Thus, quotient = 5m – 3 and remainder = 10m + 8.
Practice Set 10.2 Page No: 66
1. Divide and write the quotient and the remainder.
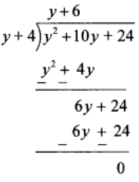
(1) (y2 + 10y + 24) ÷ (y + 4)
Solution:

Thus, quotient = y + 6 and remainder = 0
(2) (p2 + 7p – 5) ÷ (p + 3)
Solution:

Thus, quotient = p + 4 and remainder = -17
(3) (3x + 2x2 + 4x3) ÷ (x – 4)
Solution:
Writing the dividend in descending order of their indices, we have
3x + 2x² + 4x³ = 4x³ + 2x² + 3x

Thus, quotient = 4x2 + 18x + 75 and remainder = 300
(4) (2m3 + m2 + m + 9) ÷ (2m – 1)
Solution:

Thus, quotient = m2 + m + 1 and remainder = 10
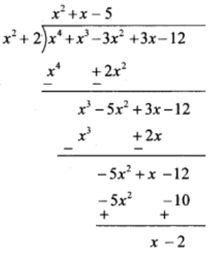
(5) (3x – 3x2 – 12 + x4 + x3) ÷ (2 + x2)
Solution:
Writing the dividend in descending order of their indices, we have
(x4 + x3 – 3x2 + 3x – 12) ÷ (x2 + 2)

Thus, quotient = x2 + x – 5 and remainder = x – 2.
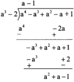
(6) (a4 – a3 + a2 – a + 1) ÷ (a3 – 2)
Solution:

Thus, quotient = a – 1 and remainder = a2 + a – 1.
(7) (4x4 – 5x3 – 7x + 1) ÷ (4x – 1)
Solution:
Writing the dividend in descending order of their indices, we have
(4x4 – 5x3 – 7x + 1) = (4x4 – 5x3 + 0x2 – 7x + 1)

Thus, quotient = x3 – x2 – x/4 – 29/16 and remainder = -13/16.
Further, our experts have solved the difficult problems by using simple steps, so that students of all levels can understand them. The following chapter is about Division of Polynomials, where one will understand how to divide a given polynomial by a monomial and binomial. Regular revision of these concepts over time can strengthen one’s knowledge over the chapter. Students can refer to all other solutions to yield good results in the examination.
Frequently Asked Questions on Maharashtra State Board Solutions for Class 8 Maths Chapter 10 Division of Polynomials
Are Maharashtra State Board Solutions for Class 8 Maths Chapter 10 Division of Polynomials useful?
Yes, these Maharashtra State Board Solutions for Class 8 Maths Chapter 10 Division of Polynomials are very useful. Students are highly recommended practising these solutions after revising the subjects, as they set the basis for the questions that could get asked often in the board exams. Students are encouraged to practise these questions at first. Then they can refer back to the solutions to analyse their performance. This will also help them to rectify the mistakes, so that they can avoid making any during the board exams.
How do we access these Maharashtra State Board Solutions for Class 8 Maths Chapter 10 Division of Polynomials?
Maharashtra State Board Solutions for Class 8 Maths Chapter 10 Division of Polynomials are available online as scrollable PDF online and the solutions and questions are also given directly on the webpage. We have also provided the PDF clickable links for those who wish to download the PDF format for future reference.
How to make the most of Maharashtra State Board Solutions for Class 8 Maths Chapter 10 Division of Polynomials?
Students are advised to refer to the questions from the Maharashtra State Board Solutions for Class 8 Maths Chapter 10 Division of Polynomials and solve them first before going back to check the answers. This will help the students to self analyse their preparation level and also to identify the mistakes, rectify them and avoid them for the exams. Timing the process also helps to manage time in a better way.







Comments